预决算公开

您现在的位置: 首页 >专题专栏>信息公开>预决算公开>详细内容

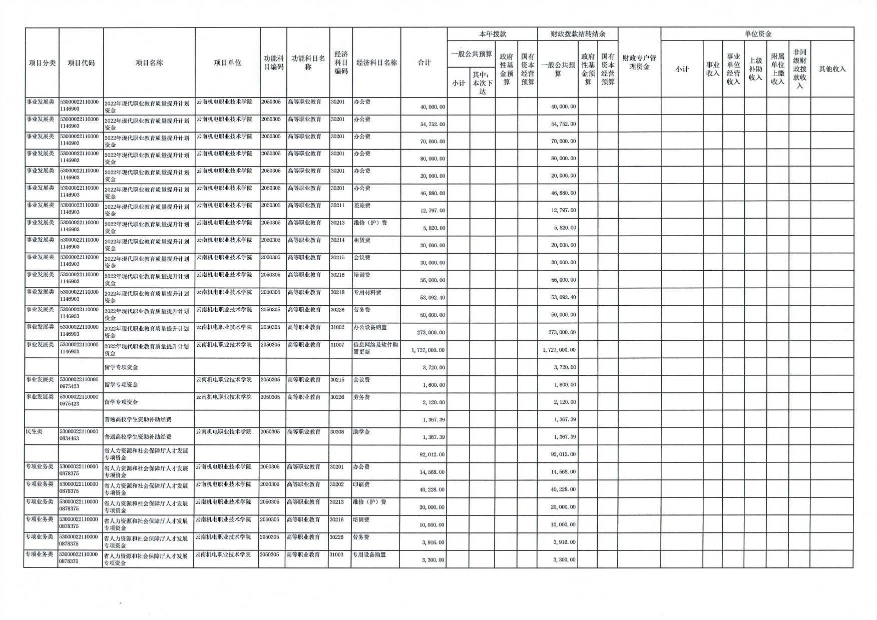
乐鱼官方网站2023年预算公开

来源: 发布时间:2023-02-07 10:00:00 浏览次数: 【字体:

1cf505437ff24eae9e6008fb9ad59894.jpg

d828d7b1b5b64108b2030df69d9c27a2.jpg

f421fb4194fb42d0a5b5424b038d167d.jpg

937f3023602f4baba822234068044b5f.jpg

ff69912ba39c4a728b7de5263ce2be62.jpg

71cceec291ad47a992918b83abef0d4c.jpg

b6ff89dcce3f4144a25951a7d262b336.jpg

50428cff7ef04b6cb64636e7daf774f8.jpg

8b6066404b8e4a83befcb1ae14bbb4c7.jpg

255d81ecf4334be88dd1cde465055c98.jpg

0d1f6674930b4c2fb70b19173aeca109.jpg

3cf0911db6944e17a74f8a796907ff8f.jpg

b5589714b5404b2083b5b9081f8cba51.jpg

71d15ae08d864c12b8159ee1678d5207.jpg

dad0beaed128454b8d1fb5911846b42f.jpg

99799bb6b7fc4ef696295f7ff822a206.jpg

6871719ff0864908a2ed6dc6aa4f7725.jpg

d39e81be203c4ecc81badbf54c640a1e.jpg

fbb0d83f2017467fbcde5069b0b14ae9.jpg

c1b85664b0234230946039654885d323.jpg

7ff598d3b743465cb082e8a56d5c8ce4.jpg

21f8717346f3438a8fcc3be2c2d36d1d.jpg

d386071346dc442eaedd0438ee1f1de0.jpg

da1574b4be984ed6b7b3bef10b716ee3.jpg

2dd2875ef4fd4a678a36774c64aa3df5.jpg

cb6a589ed0d64eb8a4614393ed0f3690.jpg

c2f76f41a7894cf384692edf70a50df8.jpg

8ea26277055142fe8ef86189d61a2b4e.jpg

123bd0faf0bf4aa2a05760ec1cac2924.jpg

4a00bdf6dfd4463ab1c526496208ff18.jpg

ac0ea0b2f9d947efa2a5f97914fa0eea.jpg

01fb4843363944f2a9b732f2eb50274e.jpg

c64c49529b19478a9c2f84ecbe24a5ad.jpg

ea0f95c82250436ab4252c85fc2810c6.jpg

c8f8eb5db16f4d25a7e83a54249e7666.jpg

f06fa4395cb24038824329f2709fa5d2.jpg

04978220ed4b464e8f75250454a6dfba.jpg

f58d1877cd25404ea67fdd6f592fa0ab.jpg


分享到:
【打印正文】